英伟达加仓11倍,AI新贵只投0.12%:段永平的凯利公式实战课

纪念被删掉的稿子
·
·
IPFS
段永平买了这么多AI股,为什么有些只投0.12%?凯利公式给出答案

最近,段永平的持仓疑似曝光。

(以上图片信息一致,仅为中英对照版本)

根据美股机构投资者13F持仓披露情况,截至2025年底,段永平管理的H&H International Investment持仓总市值约174.89亿美元,折合人民币超1200亿元。

新闻很短,信息量很大:

大幅减持苹果,英伟达仓位狂拉11倍,增持谷歌、拼多多,大幅减持光刻机巨头阿斯麦(减持幅度87.63%)。

但真正让我多看两眼的,是这三笔交易:

CoreWeave:持仓占比0.12%;

Credo Technology:持仓占比0.12%;

Tempus AI:持仓占比0.04%。

三家公司都很有故事。

CoreWeave,专门搭建高性能GPU集群,把算力租给AI公司和企业客户。典型的“卖铲子”生意,在算力紧缺周期内拥有极强的议价权;

Credo Technology ,提供高速互联芯片和光模块,如果把GPU比作“心脏”,他们做的就是“血管”;

Tempus AI,致力于将AI应用于精准医疗,尤其是肿瘤领域,属于AI垂直应用。

如果只看新闻标题,结论很简单:段永平看好AI,押注全产业链。

但如果只读到这一层,那就太可惜了。

真正值得问的问题是:英伟达加仓11倍,但三家AI概念股却只投了0.12%甚至更少——加起来连1%都不到。既然看好,为什么不重仓?

尤其是这个0.12%,是随手买的,还是精心算过的?

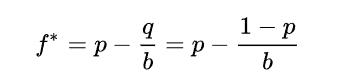
一个用来管理仓位的数学公式

1956年,贝尔实验室的科学家约翰·拉里·凯利发表了一篇论文,提出一个公式:

其中:

f是应该投入的资金比例;

b为赔率(比如赢了能赚几倍);

p是赢的概率;

q是输的概率,也可以写作(1-p),因为赢的概率+输的概率=100%。

这个公式最初是为了解决通信信号传输问题,但很快被人发现——它可以用来计算赌博时应该下注多少。

后来,金融行业的传奇之一爱德华·索普把它用在21点游戏和股票交易上,赚得盆满钵满。再后来,人们发现,巴菲特的操作里,很多都有凯利公式的影子。

凯利公式的核心思想只有一句话:在赢面大的时候多下注,在赢面小的时候少下注,永远不要孤注一掷。

它不告诉你买什么,它告诉你买多少,尤其是通过承担最小的风险来获得最大的收益。

一个经典的凯利公式故事

假如有一个赌博游戏:

赢的概率60%,输的概率40%;

赢了,拿回本金外加同等金额的奖金(赔率1:1);

输了,本金全亏;

你有100块钱,每次应该押多少?

代入公式:f= (1×0.6-0.4) / 1=0.2;

答案是:每次押20块钱。

这个0.2也就是20%,被称为“全凯利”。但实际操作中,很少有人真的押20%。因为凯利公式假设你知道精确的概率,而在真实市场里,没人知道。

所以成熟的投资人会取“分数凯利”——押全凯利的二分之一、四分之一,甚至十分之一。

这是因为市场有噪音,模型有误差,黑天鹅会飞过。留点余地,比追求数学上的最优解更重要。

这就引出了投资圈的一条经验法则:单笔交易的风险,控制在总资金的2%以内——即投资中的2%法则。

这个2%不是凯利公式直接算出来的,是无数人用真金白银换来的共识。它能保证你连续错十次,账户还有八成资金,还能继续玩下去。

2%投资法则,就是普通人的分数凯利。优势在于将每笔交易或投资限制在投资组合的2%以内,可以将风险分散到不同的仓位上,从而缓冲单笔投资亏损的影响,并降低整体投资组合的波动性,还有助于培养严谨的决策习惯,防止冲动交易,通过严格限制持仓规模,迫使散户仔细评估每一笔潜在交易,并权衡其风险回报比。

0.12%背后的数学

现在回头看段永平的持仓。

CoreWeave、Credo Technology、Tempus AI,每家持仓占比0.12%左右。

这比2%还低得多。

原因在于这些股票的“不确定性”太高了。

盈利时间长:AI垂直应用还在烧钱阶段,不知道什么时候能赚钱;

监管风险:AI涉及数据、医疗、金融,随时可能被盯上;

估值波动:市场情绪一变化,这种股票能跌30%也能涨30%。

简单说:这些股票的“赔率”和“概率”,都很难算清楚。

按照凯利公式的逻辑,当p和b都不确定的时候,最优仓位就应该无限趋近于0。

段永平的0.12%,就是一个“分数凯利的分数凯利”——用极小的仓位,去博一个极小概率的爆发。赚了,皆大欢喜;亏了,就当没买过。

再看他加仓11倍的英伟达。

英伟达也有不确定性,但它的商业模式已经被验证,业绩可预测性高,在AI浪潮中的核心地位相对稳固。对这样的资产,可以给更高的仓位。

所以段永平的持仓逻辑其实是:

英伟达:确定性高,重仓;

谷歌、拼多多:确定性较高,适当配置;

CoreWeave等:故事好听但看不清,极低仓位试水。

这不是拍脑袋,这是凯利公式的实战应用——当你认为某个资产具有长期正期望值时,可以按你的信心水平去增加仓位;但信心不足或不确定性高时,只做边际小仓配置。

反常识之一:故事越动听,仓位越要小

散户最常犯的错误是,看到一个好故事,听到一个热门概念,热血上头,重仓杀入。

“这次不一样!”

“AI是未来!”

“搏一搏,单车变摩托!”

但凯利公式告诉我们一个反常识的真相:越是看不清、波动大的股票,仓位越要小。 因为你算不出p,也算不准b。

你以为是“搏一搏,单车变摩托”,数学上其实是“搏一搏,单车变废铁”。

那些讲得天花乱坠的故事股,恰恰是最不应该重仓的。

重仓的前提,是你能算清楚赔率和概率。对于99%的散户来说,算不清的东西,只能用极低仓位去试。

段永平的0.12%,不是因为他胆小,而是因为他懂数学。

反常识之二:不是“炒股赚钱”,是“赚钱了再炒股”

凯利公式还指向另一个更扎心的真相:

对普通人来说,“炒股赚钱”这个想法,本身就是错的。

因为凯利公式告诉大家,为了控制风险,只能用很小的仓位去博。

2%投资法则也好,网传的段永平持仓中的0.12%也好,都是在说同一件事:不能把所有希望押在一只股票上,必须分散,必须控制单笔风险。

可问题是,如果本金只有10万块,2%就是2000块。就算翻倍,也只赚2000块。

靠炒股赚钱?不存在的。

段永平能拿出0.12%去试水,是因为他的本金足够大。0.12%对他而言是上亿人民币的资金,对散户来说这可能是几辈子都赚不到的钱。

巴菲特能成为股神,是因为他的保险公司源源不断地提供现金流;段永平能从容配置,是因为他有早年的小霸王、步步高,现在的OPPO、vivo等实业打底。

他们是因为先有钱,才去炒股;不是因为炒股,才变得有钱。

对散户来说,这个顺序不能反。

真正的逻辑应该是:先通过工作、创业、实业积累本金,然后用科学的仓位管理去让财富增值。而不是拿着仅有的几万块,幻想一把翻盘。

凯利公式不会让你暴富,但它能让你不爆仓。而只有不爆仓,你才有机会等到复利发挥作用的那一天。毕竟对散户来说,最大的问题不是不知道买什么,而是没有“可以分散配置”的本金。

所谓“心态”,其实可以被量化

最后说说心态。

散户最爱聊心态。

亏了,说“心态要好,拿着等回本”;套了,说“就当存银行了”。

但仔细想想,这种心态是事后找补的,是没有数学支撑的。

凯利公式给了另一个答案:心态,是可以量化的。

你进场之前就知道,这笔交易最坏情况会亏多少;你知道就算亏光,也只占你总资金的2%,甚至只有0.12%;你知道自己还能承受多少次这样的亏损。

这种心态,不是亏了以后安慰自己,而是进场之前就算清楚。

段永平买那几只AI股,心态一定很好。因为他从一开始就知道,这些仓位就算全亏完,对他也不痛不痒。

散户要学的,不是“亏了不慌”,而是“怎么在进场之前就让自己不慌”。

凯利公式帮不上预测的忙,但它能帮你算一笔账:你对这笔交易的信心,到底值多少钱。

投资不是赌感觉

投资不是靠感觉,不是靠直觉,不是靠“俺寻思这个故事能成”。

段永平的0.12%,不是随便买的。

它是一个信号:在不确定性面前,克制才是理性。

英伟达可以重仓,因为看得清;AI新贵只能试水,因为看不清。

散户要学的,不是模仿他买了什么,而是理解他为什么只买这么多。

下次再看到一个动听的故事股,热血上头之前,问自己三个问题:

我赢的概率有多大?

我赢的赔率是多少?

我应该押多少?

如果前两个答不上来,第三个就自动有了答案:押一点点,甚至不押。

凯利公式不会让你赚得最快,但它会让你活得更久。

而活得久,才是复利开始的地方。

参考资料:

段永平1200亿元持仓曝光——第一财经资讯

段永平试水“AI交易”:卖苹果加仓英伟达,“新入”CoreWeave、Credo和Tempus——华尔街见闻

CC BY-NC-ND 4.0 授权
已推荐到频道:时事・趋势

喜欢我的作品吗?别忘了给予支持与赞赏,让我知道在创作的路上有你陪伴,一起延续这份热忱!